728x90
반응형
✅ 목표:
- 7일 동안 배운 방정식 개념을 종합적으로 활용
- 다양한 난이도의 문제를 섞어서 풀어보기
- 미지수가 1개 또는 2개인 방정식을 해결할 수 있도록 연습
- 연립방정식을 활용하여 실전 문제를 해결
✅ 출제 기준:
- 총 20문제
- 1단계~3단계 문제를 난이도 상관없이 섞어서 출제
- 정수 해만 나오도록 문제 구성
✏️ 종합 실전 문제 (Day 2 - 20문제)
1~7번: 기본 방정식 풀이 (미지수 1개, 숫자 연산 연습)

8~14번: 연립방정식 풀이 (미지수 2개, 연립방정식 해결)


15~20번: 실생활 적용 문제 (문제 읽고 연립방정식 세우고 풀이)
👉 문제를 읽고 연립방정식을 세운 후 풀어보세요.
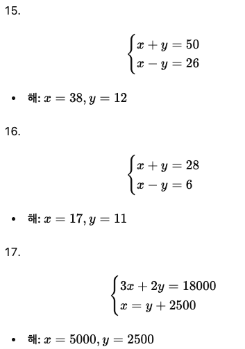
- 어머니와 아들의 나이 합이 50세이다. 어머니의 나이는 아들보다 26세 많다면, 어머니와 아들의 나이는 각각 몇 세인가?
- 두 수의 합이 28이고, 두 수의 차이가 6이라면 두 수를 구하세요.
- 어떤 가게에서 사과와 배를 판매한다. 사과 3개와 배 2개의 가격이 18,000원이고, 사과 한 개가 배 한 개보다 2,500원 더 비싸다면, 사과와 배의 가격을 각각 구하세요.
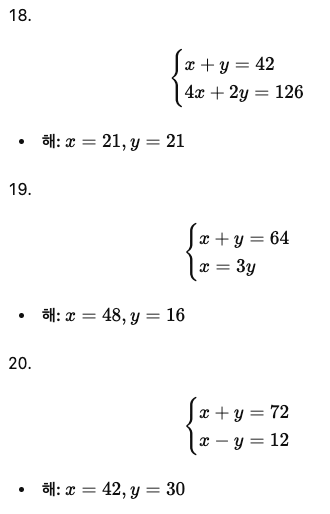
- 어떤 축사에는 양과 오리가 있다. 양과 오리를 합치면 42마리이고, 양의 다리 수와 오리의 다리 수를 모두 합하면 126개라면, 양과 오리는 각각 몇 마리인가?
- 어떤 책장에는 책과 잡지가 있다. 책의 개수는 잡지 개수보다 3배 많고, 전체 개수가 64권이라면 책과 잡지는 각각 몇 권인가?
- 한 삼각형의 둘레가 72cm이고, 한 변이 다른 변보다 12cm 길다면 두 변의 길이를 구하세요.
📘 풀이 및 정답
1~7번: 기본 방정식 풀이 정답

8~14번: 연립방정식 풀이 정답

15~20번: 실생활 적용 문제 풀이 정답


📌 정리
✅ 미지수가 1개인 방정식, 연립방정식, 실생활 적용 문제를 섞어 출제
✅ 모든 문제의 해가 정수로 나오도록 구성
✅ 난이도별 구분 없이 다양한 문제를 종합적으로 연습
728x90
반응형
'Study > Mathmetics' 카테고리의 다른 글
| [2차 방정식] 인수분해를 이용한 풀이 방법 (0) | 2025.02.25 |
|---|---|
| 다항방정식(Polynomial Equation)이란? (0) | 2025.02.25 |
| [2차 방정식] Day1 - 2차 방정식이란? (0) | 2025.02.19 |
| [2차 방정식] 일주일 학습 커리큘럼 (0) | 2025.02.18 |
| [초등학교 방정식] 부록 - 가감법 (0) | 2025.02.17 |